摘要:基于matlab平台, 作者编写了一个小程序, 采用人机交互方式, 去除地磁观测数据中的尖脉冲干扰和缺数, 以降低这些干扰因素对数据可靠性的影响。本文选取成都台观测数据实际操作处理, 并进行处理前后的误差分析对比。结果表明, 这种方法与目前台站通用的处理系统相比, 用其剔除台站资料中残留的尖峰、缺数等更加灵活、简便、实用, 具有较强的可操作性, 这种处理降低了数据由于干扰引入的统计误差, 适合台站观测人员对数据的日常处理, 也适合其他研究人员对原始数据的预处理。同样也可用于其它测项观测数据类似干扰的预处理, 具有较广泛的实用价值。
关键词:地磁数据; 尖脉冲; 缺数; 干扰; 交互处理;
地磁科学是观测科学, 观测得到地磁数据是我们进行各种科学研究的宝贵资源。但是在实际观测中, 尽管工作人员努力维护观测系统的正常运行, 层层进行专业的数据预处理, 但由于各种因素的影响, 仪器故障、周边环境等干扰原因造成的缺数、尖峰等在台站的预处理数据中仍有残留。但这样的数据, 在使用和研究工作中, 却带来许多困扰, 一是给处理结果引入不希望的偏差, 影响到结果的可靠性。二是缺数在时序上造成不完整性, 对研究某种变化的时变特征带来不确定因素。因此, 我们需要在数据处理计算之前, 进行一些数据的预处理, 力图去除一些明显的干扰。目前比较常用的是采用滤波方法去除一些杂噪干扰信号 (詹志佳, 1990, 1992) , 这种方法使用简便, 且具有广泛的适用性, 但这种方法也有一些局限性, 一是在滤除杂噪信号的同时, 也会滤除一些有用的信息, 处理后的数据可能会丢失一些有用的信息, 这是我们所不希望出现的情形。二是干扰信号各种各样, 幅度和频率千差万别, 用一个滤波器同时去除各种各样的干扰信号也是比较困难的。所以, 本文提出一种简便的方法, 用人机交互的方式, 去除一些明显的干扰, 特别侧重于处理尖脉冲干扰和短时缺数的情形。

1 基本方法
基于matlab平台, 编写了针对地磁观测数据干扰和短时缺数的预处理小程序。首先读入数据, 在一个窗口显示波形, 根据地磁场的自然变化特征目视找到一个干扰, 例如图1中的尖脉冲干扰, 用窗口显示的鼠标十字丝分别点击尖脉冲干扰的起始点和终止点, 选取这个干扰脉冲, 截取这段数据去除, 程序在相应的数据时序位置补上相应个数的随机数据, 随机值的大小根据整个数据序列的平均幅值控制, 采用随机值补数旨在将这一处理对数据序列频谱的影响减低到最小。这样, 一处干扰得以处理, 如果这一屏数据中还有其他干扰要处理, 命令窗口会有一个输入提示出现:您还有更多需要处理吗?如果输入y, 弹出波形窗口, 类似上述方法点击选取, 如果不再处理, 输入N, 结束程序, 一个数据文件预处理结束。
2 预处理实例
2.1 成都地磁台2007年9月至2007年10月资料预处理
选取成都地磁台2007年9月至2007年10月地磁垂直分量的观测数据为例进行处理, 采样率为每分钟一个样点。这段数据中包括了一个是尖脉冲干扰。处理前的数据如图1 (a) 所示, 处理后的数据如图1 (b) 所示。
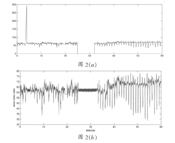
2.2 成都地磁台2008年2月至2008年3月资料预处理
这里选取成都地磁台2008年2月至2008年3月地磁垂直分量的观测数据为例进行处理, 采样率为每分钟一个样点。这段数据中包括了两个明显的处理点, 一个是尖脉冲干扰, 另一个是一段记录缺数。处理前的数据如图2 (a) 所示, 处理后的数据如图2 (b) 所示。
图1 (a, b) 成都地磁台2007年9月至2007年10月地磁垂直分量 (Z) 的观测数据预处理

3 误差分析
对于成都台观测数据的两个实例, 我们分别计算了数据预处理前后的几个统计分析指标见表1.由此, 从平均值, 众数, 标准差和均方差这四个指标
图2 (a, b) 成都地磁台2008年2月至2008年3月地磁垂直分量 (Z) 的观测数据预处理

可以看出, 处理前后这四个指标均有不同程度差异, 平均值和众数, 在处理前受到干扰影响较大, 特别是众数受缺数影响较大, 标准差和均方差也存在较大差异, 处理后数据离散性得以较好控制。
表1 误差分析结果表

4 结论
基于以上实例操作处理和结果的误差分析认为:
1) 采用人机交互方式去除干扰, 方法简便, 可靠, 不要求资料使用者掌握太多的专业处理系统操作技能, 使数据适合研究人员进一步的处理。
2) 误差分析对比可知, 干扰和缺数对数据统计分析的结果存在较大影响, 对台站产出的部分资料进行进一步的预处理是很有必要的。
3) 这种方法略加改动, 也可用于其它观测项目的预处理。
参考文献
[1]詹志佳, 高金田, 郭启华, 等。1990.地磁干扰噪声的实验观测[J].西北地震学报。12 (4) :49-54.
[2]詹志佳, 高金田, 任熙宪, 等。1992.频谱分析在地磁与震磁研究中的应用[J].地震地磁观测与研究。13 (1) :30-37.
[3] 陈俊, 杨冬梅, 曾献军。2010.地磁干扰概况浅析[J].地震地磁观测与研究。31 (sup.1) :1-5.








